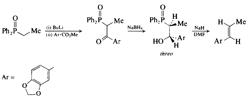
STEP 1: (Z)-Isosafrole:
- (1RS,2SR)-2-Diphenylphosphinoy1-1 -(3,4-methylenedioxy-phenyl)-propan-1 -ol. n-Butyllithium (1.5 M in hexane; 5.8 ml) is added drop-wise from a syringe (1) to a stirred solution of ethyldiphenylphosphine oxide (2.0 g, 8.69 mmol) (2) in dry tetrahydrofuran (30 ml) at 0 °C (3).
- After 30 minutes the red reaction solution is cooled to 78 °C (acetone-solid carbon dioxide) and a solution of 3,4-methylenedioxybenzaldehyde (1.3 g, 8.69 mmol) in dry tetrahydrofuran (10 ml) is added dropwise from a syringe.
- The rate of addition is such that the internal temperature is maintained at - 78 °C.
- The orange solution is allowed to warm to room temperature over 2 hours and then water (25 ml) is added.
- The tetrahydrofuran is removed under reduced pressure and the aqueous residue is diluted with brine (15 ml) before extraction with dichloromethane (3 x 50 ml).
- The combined organic extracts are dried (magnesium sulphate) and evaporated to dryness to give the product as a crystalline mixture of diastereoisomers which are separated by flash column chromatography (elution with ethyl acetate) (4).
- The first diastereoisomer to be eluted from the column is the (1RS,2SR)-adduct (erythroisomer), microcrystals (2.5 g, 75.8%), m.p. 137-140 °C [recrystallised from ethyl acetate-light petroleum (b.p. 60-80 °C)], RF 0.6 (blue fluorescence) (4), i.r. 3400 (OH), 1235 (C-0), and 1150 cm -1 (P=0); p.m.r. (CDC13, TMS) 6 8.1-7.4 (m, 10H, Ph2PO), 6.8 and 6.75 (two s, 3H, aryl Hs), 5.9 (s, 2H, OCH2), 5.2 (dd, 1H, JHH = 1 Hz, J Hp= 9 Hz, CHOH), 4.5 (broad s, 1H, OH), 2.55 (ddq, J HH= 1 Hz, J- HMe = JHP = 7 Hz, CHMe), and 1.05 (dd, 3H, JHme =7 Hz, JMeP = 17 Hz, Me), m.s. M ® 380.1157 (C22H2104P requires M 380.1178), m/z 380 (9%), 230 (63%, Ph2POEt) and 202 (100%, Ph2POH).
- The second diastereoisomer to be eluted from the column is the (1RS,2RS)- adduct (threo-isomer) (277 mg, 8.4%), m.p. 197-199 °C [from ethyl acetate-light petroleum (b.p. 40-60 °C)], RF 0.45, i.r. (Nujol mull) 3275 (OH), 1440 (P—Ph) and 1165 cm-1 (P=0); p.m.r. (CDC13, TMS) 6 8.0-7.2 (m, 10H, Ph2PO), 6.8 and 6.65 (two s, 3H, aryl Hs), 5.8 (s, 2H, OCH2), 5.55 (broad d, 1 H, Amyl C. 3 Hz, OH), 4.7 (broad dd, 1 H, JHH = JHP = 9 Hz, CHOH), 2.8 (ddq, 1H, J Hme= 7 Hz, JHH = J Hp= 9 Hz, CHMe) and 0.75 (dd, 3H, J HMe = 7 Hz, JMeP = 17 Hz, Me); m.s. MG 380.1177 (C22H2104P requires M, 380.1177), m/z 381 (22%, M + 1), 380 (68%), 379 (51%, M - 1), 230 (76%, Ph2POEt), 202 (100%, Ph2POH) and 201 (92%, Ph2POG).
STEP 2: (Z)-Isosafrole.
- Sodium hydride (80% dispersion in oil; 24 mg, 0.79 mmol) is added in one portion to a stirred solution of the (1RS,2SR)-phosphine oxide (erythro-isomer) (300 mg, 0.79 mmol) in dry dimethylformamide (30 ml) (3).
- The clear reaction solution is warmed to 50 °C for 30 minutes by which time a white solid precipitates from solution. The reaction mixture is cooled and the precipitate dissolved by the addition of water (25 ml).
- The mixture is diluted with brine (15 ml) and extracted with ether (3 x 40 ml).
- The combined organic extracts are washed with water (3 x 40 ml), dried (magnesium sulphate), and the solvent removed under reduced pressure.
- Bulb-to-bulb distillation (Kugelrohr apparatus) gives (Z)-isosafrole (108 mg, 84.4%) as a colourless liquid, RF 0.75 (fluorescent), i.r. (liquid film) 1500 (aryl-H), 1450, 1260, and 1040 (C-0), 940 and 820 cm -1; p.m.r. (CDC13, TMS) 6.8 (m, 3H, aryl Hs), 6.35 (dq, 1H, JHMe = 2 Hz, Jim = 11 Hz, CH=--CHMe), 5.95 (s, 2H, OCH2), 5.7 (dq, 1 H, JHMe = 7 Hz, JHH = 11 Hz, CHMe) and 1.9 (dd, 3H, JHMe = 2 and 7 Hz). Gas-liquid chromatography analysis (15% LAC-2R-446 on Chromosorb W, 2.7 m x 3.1 mm) shows that the product contains c. 4 per cent of the (E)-isomer.
Notes to keep in mind:
1. All reactions in non-aqueous solutions are carried out under a nitrogen atmosphere.2. Preparation of alkyldiphenylphosphine oxides. General procedure from phosphonium salts. Triphenyl phosphine is heated under reflux with an excess of alkyl halide. The precipitated phosphonium salt is filtered off, washed well with ether, and then heated with 30 per cent w/w aqueous sodium hydroxide (c. 4 ml/g) until all the benzene has distilled out. The mixture is cooled and extracted with dichloromethane, and the extracts are dried (magnesium sulphate) and evaporated to dryness. In this way ethyldiphenylphosphine oxide is obtained from triphenyl phosphine (65.6 g, 0.25 mol) and iodoethane (42.9 g, 0.275 mol) in dry toluene (250 ml) to give first the phosphonium salt (102.4 g, 97.9%) after 3.5 hours, from which the phosphine oxide is obtained as needles (53.2 g, 92.5%), m.p. 123-124 °C (from ethyl acetate); p.m.r. b (CDC13, TMS) 7.9-7.3 (m, 10H, Ph2PO), 2.3 (m, 2H, CH2) and 1.2 (dt, 3H, JHMe = 7 Hz, J mep = 17 Hz, Me).
3. Dry tetrahydrofuran is freshly distilled from sodium wire using benzophenone radical as an indicator. Toluene and ether are dried by distillation from sodium wire and are stored over sodium. Dimethylformamide is dried by distillation from 4A molecular sieves and stored over 4A molecular sieves.
4. Thin-layer chromatograms are run on commercially prepared pre-coated plates (Merck, Kieselgel 60F254) and eluted with ethyl acetate. Flash column chromatography is carried out using a 150 x 51 mm bed of Merck Kieselgel 60 (230-400 mesh) silica. Optimum separation of diastereoisomeric phosphine oxides is achieved by eluting with solvent which gives the midpoint between the isomers as C. RF 0.45.
STEP 3: (E)-Isosafrole
- 3,4-Methylenedioxybenzoic acid. A solution of potassium permanganate (18 g, 0.114 mol) in water (360 ml) is added over 45 minutes to a mixture of 3,4-methylenedioxybenzaldehyde (12 g, 0.08 mol) and water (300 ml) stirred at 80 °C.
- The reaction mixture is stirred a further 1 hour at 80 °C, after which 10 per cent (w/w) aqueous potassium hydroxide (25 ml) is added and the mixture then filtered while hot.
- The filtrate is cooled to room temperature and the product precipitated by acidification (pH 2) with concentrated hydrochloric acid.
- The precipitate is collected and washed with water to give the acid as needles (10g, 75.4%), m.p. 229-231 °C (from 95% ethanol), RF 0.6, i.r. (Nujol mull) 2650-2500 (OH) and 1670 cm -1 (C-=0): p.m.r. [(CD3)2S0, TMS] b 12.4 (broad s, 1H, OH), 7.5 (dd, 1H, JHH = 2 and 8 Hz, aryl H), 7.25 (d, I H, JHH = 2 Hz, aryl H), 6.8 (d, 1 H, JHH = 8 Hz, aryl H) and 6.0 (s, 2H, OCH2).
Methyl 3,4-methylenedioxybenzoate
- A solution of the foregoing acid (1.66g, 0.01 mol) in methanol (40 ml) containing 5 drops of concentrated sulphuric acid is heated under reflux for 18 hours.
- The reaction is cooled to room temperature, basified with saturated sodium hydrogen carbonate, and the methanol removed under reduced pressure.
- The aqueous residues are diluted with water (50 ml), extracted with dichloromethane (3 x 20 ml) and the combined organic extracts dried (magnesium sulphate) and evaporated to dryness to give the ester (1.5 g, 83.3%), m.p. 49-51 °C [from light petroleum (b.p. 6080°C)], RF 0.65; i.r. (Nujol mull) 1710 cm -1 (C=0); p.m.r. (CDC13, TMS) 6 7.6 (dd, 1 H, JHH = 2 and 8 Hz, aryl H), 7.4 (d, 1 H, JHH = 2 Hz, aryl H), 6.75 (d, 1H, JHH = 8 Hz, aryl H), 5.95 (s, 2H, OCH2) and 3.8 (s, 3H, Me).
2-Diphenylphosphinoy1-1-(3,4-methylenedioxyphenyl)propan-l-one.
- n-Butyllithium (1.5 M in hexane; 6.7 ml) is added dropwise from a syringe to a stirred solution of ethyldiphenylphosphine oxide (2.3 g, 0.01 mol) in dry tetrahydrofuran (35 ml) at 0 °C [see Notes (1), (2) and (3) above].
- After 30 minutes the red reaction solution is cooled to - 78 °C (acetone-solid carbon dioxide) and a solution of methyl 3,4-methylenedioxybenzoate (900 mg, 5 mmol) in dry tetrahydrofuran (15 ml) is added dropwise from a syringe.
- The pale yellow solution is allowed to warm to room temperature before addition of water (20 ml) and removal of the tetrahydrofuran under reduced pressure.
- The aqueous residues are diluted with brine (15 ml) and extracted with dichloromethane (3 x 30 m1).
- The combined organic extracts are dried (magnesium sulphate) and evaporated to dryness to give an oil that crystallises with time.
- Flash column chromatography (elution with ethyl acetate-acetone, 2:1) gives the ketone as needles (1.6 g, 84.7% based on the ester), m.p. 163-165 °C (from ethyl acetate), RF 0.35; i.r. (Nujol mull) 1765 (C=O, 1245 (C-0) and 1195 cm -1 (P=0); p.m.r. (CDC13, TMS) 6 8.1-7.2 (m, 12H, Ph2PO, aryl Hs), 6.7 (d, 1H, JHH = 8 Hz, aryl H), 5.95 (s, 2H, OCH2), 4.5 (dq, 1H, JHMe = 7 Hz, JHP = 16 Hz, CHMe) and 1.5 (dd, 3H, JHMe = 7 Hz, JMeP = 16 Hz, Me); m.s. M8, 378.1043 (C22H1904P requires M, 378.1021), m/z 379 (3%, M + 1), 378 (33%), 201 (45%, Ph2PO®) and 149 (100%, M - Ph2POCH2CH2).
Reduction of the a-diphenylphosphinoyl ketone.
- Sodium borohydride (110 mg, 2.91 mmol) is added in one portion to a stirred solution of the ketone (1.1 g, 2.91 mmol) in ethanol (30 ml).
- The reaction mixture is heated under reflux for 3 hours, cooled to room temperature, and then saturated aqueous ammonium chloride (15 ml) is added.
- The ethanol is removed under reduced pressure and several drops of dilute hydrochloric acid are added to the aqueous residues.
- After dilution with brine (20 ml), the aqueous reaction mixture is extracted with dichloromethane (3 x 50 ml) and the combined organic extracts are dried (magnesium sulphate) and evaporated to dryness to give the product as a mixture of diastereoisomers.
- Separation by flash column chromatography (elution with ethyl acetate-acetone, 4:1) gives the (1RS,2SR)- phosphine oxide (erythro-isomer) (65 mg, 5.9%) and the (1RS,2RS)- phosphine oxide (threo-isomer) (1.007 g, 90.7%).
- The procedure is the same as that described for the preparation of the (Z)-isomer above.
- The (1RS,2RS)-phosphine oxide (threo-isomer) (500 mg, 1.32 mmol) and sodium hydride (80% dispersion in oil; 79 mg, 2.63 mmol) give, after distillation, (E)-isosafrole (184 mg, 86.4%) as a colourless liquid, RF 0.75; i.r. (liquid film) 1500 (aryl-H), 1440, 1250 (C-0), 965 (C—H out-of-plane deform.), 940 and 785 cm -1; p.m.r. (CDC13, TMS) 6 6.8 and 6.65 (two s, 3H, aryl Hs), 6.3 (d, 1H, Jim = 15 Hz, CH=CHMe), 6.05-5.7 (m overlain by s at 5.8, total 3H, CHMe and OCH2) and 1.8 (d, 3H, JHMe5 Hz, Me).
- The (Z)-isomer is not detected by g.l.c. (column noted above).


No comments:
Post a Comment
We specialize in producing high value chemicals. Besides our regular products, we strive to develop new products based on customer’s requirements. Our R&D center plays crucial role in handling complex chemistries and developing newer technologies. We respect intellectual property rights and have confidentiality agreement with various multi national companies. We undertake contract manufacturing of fine chemicals and advance intermediates of API’s.